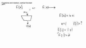
#functions#mathskills #gcse#aslevel Level #onlineteaching

Tonton & Download Video Musik Gratis

⬇ DOWNLOAD NOW
Jika muncul iklan pop-up, tutup lalu klik tombol kembali

Download lagu #functions#mathskills #gcse#aslevel Level #onlineteaching secara gratis hanya untuk keperluan promosi. Dukung artis favorit kamu dengan membeli musik original di iTunes atau platform resmi lainnya.