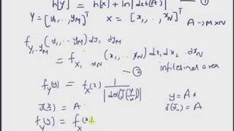
Chapter 10 Differential Entropy - Section 10.1 B Random Vectors

Tonton & Download Video Musik Gratis

⬇ DOWNLOAD NOW
Jika muncul iklan pop-up, tutup lalu klik tombol kembali

Download lagu Chapter 10 Differential Entropy - Section 10.1 B Random Vectors secara gratis hanya untuk keperluan promosi. Dukung artis favorit kamu dengan membeli musik original di iTunes atau platform resmi lainnya.