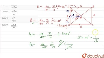
Exercise 27 he magnetic field existing in a region is given by A square loop of edge l and carrying

Tonton & Download Video Musik Gratis

⬇ DOWNLOAD NOW
Jika muncul iklan pop-up, tutup lalu klik tombol kembali

Download lagu Exercise 27 he magnetic field existing in a region is given by A square loop of edge l and carrying secara gratis hanya untuk keperluan promosi. Dukung artis favorit kamu dengan membeli musik original di iTunes atau platform resmi lainnya.