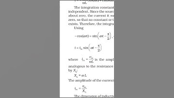
When an alternating voltage V= Vo sin wt is applied to acircuit, a current I=Io sin wt flows through

Tonton & Download Video Musik Gratis

⬇ DOWNLOAD NOW
Jika muncul iklan pop-up, tutup lalu klik tombol kembali

Download lagu When an alternating voltage V= Vo sin wt is applied to acircuit, a current I=Io sin wt flows through secara gratis hanya untuk keperluan promosi. Dukung artis favorit kamu dengan membeli musik original di iTunes atau platform resmi lainnya.