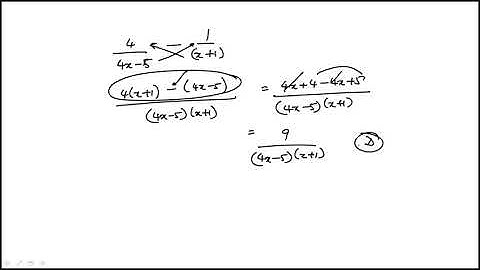
Question 10 in SAT Digital Practice Test #3, MATH Section 2 Module 2

Tonton & Download Video Musik Gratis

⬇ DOWNLOAD NOW
Jika muncul iklan pop-up, tutup lalu klik tombol kembali

Download lagu Question 10 in SAT Digital Practice Test #3, MATH Section 2 Module 2 secara gratis hanya untuk keperluan promosi. Dukung artis favorit kamu dengan membeli musik original di iTunes atau platform resmi lainnya.