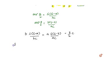
In a triangle ABC, if a,b,c are in A.P and `b/csin 2C + c/bsin 2B + b/asin 2A + a/bsin2B = 2`,

Tonton & Download Video Musik Gratis

⬇ DOWNLOAD NOW
Jika muncul iklan pop-up, tutup lalu klik tombol kembali

Download lagu In a triangle ABC, if a,b,c are in A.P and `b/csin 2C + c/bsin 2B + b/asin 2A + a/bsin2B = 2`, secara gratis hanya untuk keperluan promosi. Dukung artis favorit kamu dengan membeli musik original di iTunes atau platform resmi lainnya.