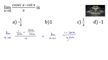
`int_(pi//6)^(pi//2) (\" cosec x cot x\")/(1+\" cosec \"^(2) x)dx`

Tonton & Download Video Musik Gratis

⬇ DOWNLOAD NOW
Jika muncul iklan pop-up, tutup lalu klik tombol kembali

Download lagu `int_(pi//6)^(pi//2) (\" cosec x cot x\")/(1+\" cosec \"^(2) x)dx` secara gratis hanya untuk keperluan promosi. Dukung artis favorit kamu dengan membeli musik original di iTunes atau platform resmi lainnya.