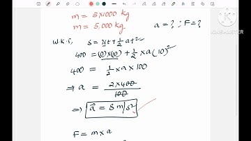
A bus starts from rest with a constant acceleration of . Determine the time required for it to attai

Tonton & Download Video Musik Gratis

⬇ DOWNLOAD NOW
Jika muncul iklan pop-up, tutup lalu klik tombol kembali

Download lagu A bus starts from rest with a constant acceleration of . Determine the time required for it to attai secara gratis hanya untuk keperluan promosi. Dukung artis favorit kamu dengan membeli musik original di iTunes atau platform resmi lainnya.