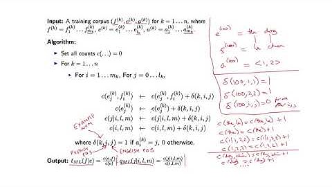
11 - 7 The EM Algorithm for IBM Model 2 (Part 3)

Tonton & Download Video Musik Gratis

⬇ DOWNLOAD NOW
Jika muncul iklan pop-up, tutup lalu klik tombol kembali

Download lagu 11 - 7 The EM Algorithm for IBM Model 2 (Part 3) secara gratis hanya untuk keperluan promosi. Dukung artis favorit kamu dengan membeli musik original di iTunes atau platform resmi lainnya.