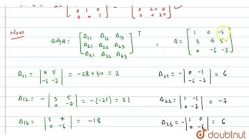
If A = ( 2 3 5 9 ), verify that A. (adj A) = (adj A).A = ।A। I

Tonton & Download Video Musik Gratis

⬇ DOWNLOAD NOW
Jika muncul iklan pop-up, tutup lalu klik tombol kembali

Download lagu If A = ( 2 3 5 9 ), verify that A. (adj A) = (adj A).A = ।A। I secara gratis hanya untuk keperluan promosi. Dukung artis favorit kamu dengan membeli musik original di iTunes atau platform resmi lainnya.