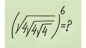
Italy | Can you simplify? | Nice Radical Simplification | Math Olympiad

Tonton & Download Video Musik Gratis

⬇ DOWNLOAD NOW
Jika muncul iklan pop-up, tutup lalu klik tombol kembali

Download lagu Italy | Can you simplify? | Nice Radical Simplification | Math Olympiad secara gratis hanya untuk keperluan promosi. Dukung artis favorit kamu dengan membeli musik original di iTunes atau platform resmi lainnya.