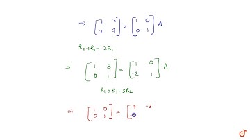
Find inverse of `A = [[1, 3], [2, 7]]` using elementary row transformation

Tonton & Download Video Musik Gratis

⬇ DOWNLOAD NOW
Jika muncul iklan pop-up, tutup lalu klik tombol kembali

Download lagu Find inverse of `A = [[1, 3], [2, 7]]` using elementary row transformation secara gratis hanya untuk keperluan promosi. Dukung artis favorit kamu dengan membeli musik original di iTunes atau platform resmi lainnya.