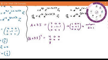
(3.8.1) Intro to Matrix Exponentials and Determining Matrix Exponentials for Simple Cases

Tonton & Download Video Musik Gratis

⬇ DOWNLOAD NOW
Jika muncul iklan pop-up, tutup lalu klik tombol kembali

Download lagu (3.8.1) Intro to Matrix Exponentials and Determining Matrix Exponentials for Simple Cases secara gratis hanya untuk keperluan promosi. Dukung artis favorit kamu dengan membeli musik original di iTunes atau platform resmi lainnya.