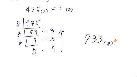
Convert Integer to Hexadecimal, Euclidean Division Theorem - Discrete Mathematics

Tonton & Download Video Musik Gratis

⬇ DOWNLOAD NOW
Jika muncul iklan pop-up, tutup lalu klik tombol kembali

Download lagu Convert Integer to Hexadecimal, Euclidean Division Theorem - Discrete Mathematics secara gratis hanya untuk keperluan promosi. Dukung artis favorit kamu dengan membeli musik original di iTunes atau platform resmi lainnya.