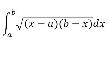
MATHS-2B DEFINITE INTEGRATION 7MARKS IMP Q Prove that Integral a to b root (x-a)(b-x) dx=π\8(b-a)^2

Tonton & Download Video Musik Gratis

⬇ DOWNLOAD NOW
Jika muncul iklan pop-up, tutup lalu klik tombol kembali

Download lagu MATHS-2B DEFINITE INTEGRATION 7MARKS IMP Q Prove that Integral a to b root (x-a)(b-x) dx=π\8(b-a)^2 secara gratis hanya untuk keperluan promosi. Dukung artis favorit kamu dengan membeli musik original di iTunes atau platform resmi lainnya.