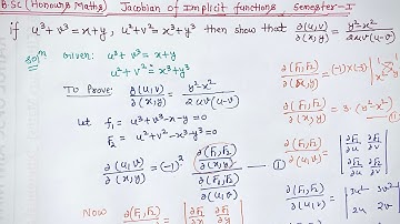
Bsc honours Maths ll differential calculus llproperties of jacobian ll implicit function of Jacobian

Tonton & Download Video Musik Gratis

⬇ DOWNLOAD NOW
Jika muncul iklan pop-up, tutup lalu klik tombol kembali

Download lagu Bsc honours Maths ll differential calculus llproperties of jacobian ll implicit function of Jacobian secara gratis hanya untuk keperluan promosi. Dukung artis favorit kamu dengan membeli musik original di iTunes atau platform resmi lainnya.