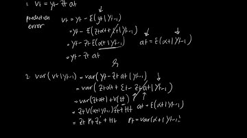
KF_V6: Kalman Filter for Linear Gaussian State Space Model

Tonton & Download Video Musik Gratis

⬇ DOWNLOAD NOW
Jika muncul iklan pop-up, tutup lalu klik tombol kembali

Download lagu KF_V6: Kalman Filter for Linear Gaussian State Space Model secara gratis hanya untuk keperluan promosi. Dukung artis favorit kamu dengan membeli musik original di iTunes atau platform resmi lainnya.