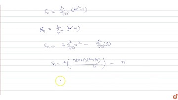
2. c) 1.3+ 3.5+ 5.7+ .......Find the nth term and the sum of first n terms

Tonton & Download Video Musik Gratis

⬇ DOWNLOAD NOW
Jika muncul iklan pop-up, tutup lalu klik tombol kembali

Download lagu 2. c) 1.3+ 3.5+ 5.7+ .......Find the nth term and the sum of first n terms secara gratis hanya untuk keperluan promosi. Dukung artis favorit kamu dengan membeli musik original di iTunes atau platform resmi lainnya.