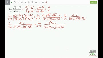
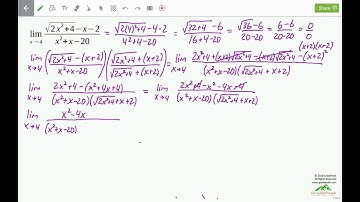
GradePeak Calculus 1 Zero Over Zero Indeterminate Form Limit 2 09

Tonton & Download Video Musik Gratis

⬇ DOWNLOAD NOW
Jika muncul iklan pop-up, tutup lalu klik tombol kembali

Download lagu GradePeak Calculus 1 Zero Over Zero Indeterminate Form Limit 2 09 secara gratis hanya untuk keperluan promosi. Dukung artis favorit kamu dengan membeli musik original di iTunes atau platform resmi lainnya.