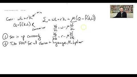
#GeeklyHub Lagrangian: How to Solve Cost Minimization Problem

Tonton & Download Video Musik Gratis

⬇ DOWNLOAD NOW
Jika muncul iklan pop-up, tutup lalu klik tombol kembali

Download lagu #GeeklyHub Lagrangian: How to Solve Cost Minimization Problem secara gratis hanya untuk keperluan promosi. Dukung artis favorit kamu dengan membeli musik original di iTunes atau platform resmi lainnya.