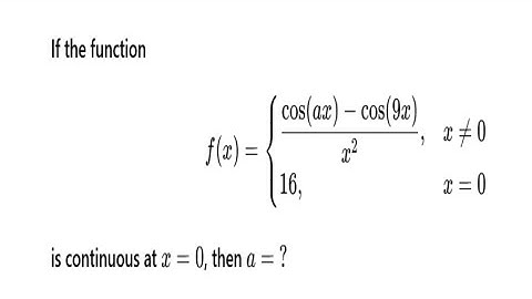
Easy trick to solve eamcet problem | Eamcet problem 2024 | limits problem | competitive maths

Tonton & Download Video Musik Gratis

⬇ DOWNLOAD NOW
Jika muncul iklan pop-up, tutup lalu klik tombol kembali

Download lagu Easy trick to solve eamcet problem | Eamcet problem 2024 | limits problem | competitive maths secara gratis hanya untuk keperluan promosi. Dukung artis favorit kamu dengan membeli musik original di iTunes atau platform resmi lainnya.