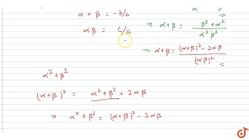
If Sum of Roots of ax²+bx+c=0 equal to Sum of squares of the reciprocals then a/c,b/a,c/b are in H.P

Tonton & Download Video Musik Gratis

⬇ DOWNLOAD NOW
Jika muncul iklan pop-up, tutup lalu klik tombol kembali

Download lagu If Sum of Roots of ax²+bx+c=0 equal to Sum of squares of the reciprocals then a/c,b/a,c/b are in H.P secara gratis hanya untuk keperluan promosi. Dukung artis favorit kamu dengan membeli musik original di iTunes atau platform resmi lainnya.