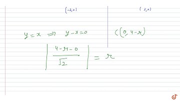
The radius of a circle, having minimum area, which touches the curve y=4-x^2 and the lines, y=|x|...

Tonton & Download Video Musik Gratis

⬇ DOWNLOAD NOW
Jika muncul iklan pop-up, tutup lalu klik tombol kembali

Download lagu The radius of a circle, having minimum area, which touches the curve y=4-x^2 and the lines, y=|x|... secara gratis hanya untuk keperluan promosi. Dukung artis favorit kamu dengan membeli musik original di iTunes atau platform resmi lainnya.