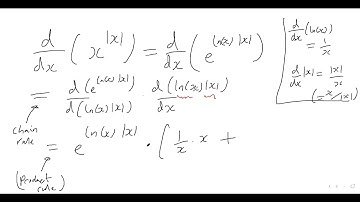
How to Differentiate Absolute Value of x | Differentiation Of Modulus x | Derivative of |x|

Tonton & Download Video Musik Gratis

⬇ DOWNLOAD NOW
Jika muncul iklan pop-up, tutup lalu klik tombol kembali

Download lagu How to Differentiate Absolute Value of x | Differentiation Of Modulus x | Derivative of |x| secara gratis hanya untuk keperluan promosi. Dukung artis favorit kamu dengan membeli musik original di iTunes atau platform resmi lainnya.