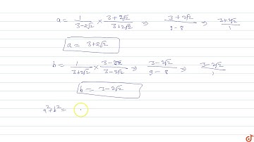
"If `a^2+b^2+c^2=1,`what is the maximum value of abc?`1/3`(b) `1/(3sqrt(3))`(c) `2/(sqrt(3))`(d) 1"

Tonton & Download Video Musik Gratis

⬇ DOWNLOAD NOW
Jika muncul iklan pop-up, tutup lalu klik tombol kembali

Download lagu "If `a^2+b^2+c^2=1,`what is the maximum value of abc?`1/3`(b) `1/(3sqrt(3))`(c) `2/(sqrt(3))`(d) 1" secara gratis hanya untuk keperluan promosi. Dukung artis favorit kamu dengan membeli musik original di iTunes atau platform resmi lainnya.