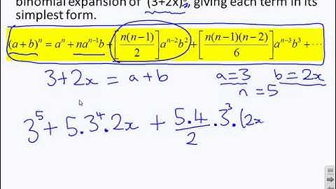
BINOMIAL QUESTION SOLUTION OF PART 3 BY AJIT SHARMA

Tonton & Download Video Musik Gratis

⬇ DOWNLOAD NOW
Jika muncul iklan pop-up, tutup lalu klik tombol kembali

Download lagu BINOMIAL QUESTION SOLUTION OF PART 3 BY AJIT SHARMA secara gratis hanya untuk keperluan promosi. Dukung artis favorit kamu dengan membeli musik original di iTunes atau platform resmi lainnya.