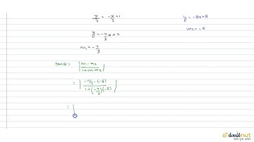
Find the tangent of the angle between the lines whose intercepts on the axes are respectively, p,...

Tonton & Download Video Musik Gratis

⬇ DOWNLOAD NOW
Jika muncul iklan pop-up, tutup lalu klik tombol kembali

Download lagu Find the tangent of the angle between the lines whose intercepts on the axes are respectively, p,... secara gratis hanya untuk keperluan promosi. Dukung artis favorit kamu dengan membeli musik original di iTunes atau platform resmi lainnya.