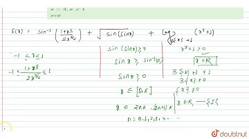
The domain of the function `f (x) = sin^(-1)((1+x^3)/(2x^(3/2)))+sqrt(sin(sinx))+log_(3{x}+1)

Tonton & Download Video Musik Gratis

⬇ DOWNLOAD NOW
Jika muncul iklan pop-up, tutup lalu klik tombol kembali

Download lagu The domain of the function `f (x) = sin^(-1)((1+x^3)/(2x^(3/2)))+sqrt(sin(sinx))+log_(3{x}+1) secara gratis hanya untuk keperluan promosi. Dukung artis favorit kamu dengan membeli musik original di iTunes atau platform resmi lainnya.