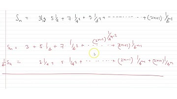
Find the sum of series `(3^3-2^3)+(5^3-4^3)+(7^3-6^3)+` to `n` terms

Tonton & Download Video Musik Gratis

⬇ DOWNLOAD NOW
Jika muncul iklan pop-up, tutup lalu klik tombol kembali

Download lagu Find the sum of series `(3^3-2^3)+(5^3-4^3)+(7^3-6^3)+` to `n` terms secara gratis hanya untuk keperluan promosi. Dukung artis favorit kamu dengan membeli musik original di iTunes atau platform resmi lainnya.