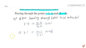
Q6 Find the equation of the line which satisfy the given condition: - #CBSE Class 11 Maths

Tonton & Download Video Musik Gratis

⬇ DOWNLOAD NOW
Jika muncul iklan pop-up, tutup lalu klik tombol kembali

Download lagu Q6 Find the equation of the line which satisfy the given condition: - #CBSE Class 11 Maths secara gratis hanya untuk keperluan promosi. Dukung artis favorit kamu dengan membeli musik original di iTunes atau platform resmi lainnya.