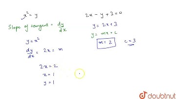
Find the points on the curve `x^2+y^2-2x-3=0` at which the tangents are parallel to the x-axis....

Tonton & Download Video Musik Gratis

⬇ DOWNLOAD NOW
Jika muncul iklan pop-up, tutup lalu klik tombol kembali

Download lagu Find the points on the curve `x^2+y^2-2x-3=0` at which the tangents are parallel to the x-axis.... secara gratis hanya untuk keperluan promosi. Dukung artis favorit kamu dengan membeli musik original di iTunes atau platform resmi lainnya.