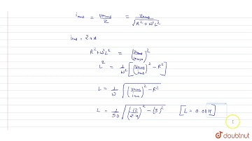
A current of 4 A flows in a coil when connected to a 12 V dc source. If the same coil

Tonton & Download Video Musik Gratis

⬇ DOWNLOAD NOW
Jika muncul iklan pop-up, tutup lalu klik tombol kembali

Download lagu A current of 4 A flows in a coil when connected to a 12 V dc source. If the same coil secara gratis hanya untuk keperluan promosi. Dukung artis favorit kamu dengan membeli musik original di iTunes atau platform resmi lainnya.