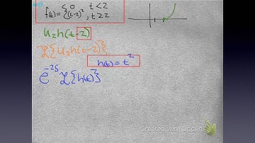
DiffEQ Section 8.4, part 4: Finding the Laplace Transform of a Piecewise Function

Tonton & Download Video Musik Gratis

⬇ DOWNLOAD NOW
Jika muncul iklan pop-up, tutup lalu klik tombol kembali

Download lagu DiffEQ Section 8.4, part 4: Finding the Laplace Transform of a Piecewise Function secara gratis hanya untuk keperluan promosi. Dukung artis favorit kamu dengan membeli musik original di iTunes atau platform resmi lainnya.