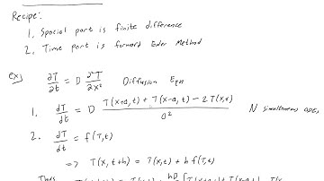
FDM Lecture 13: Convection and diffusion-forward time central space differencing (FTCS) scheme

Tonton & Download Video Musik Gratis

⬇ DOWNLOAD NOW
Jika muncul iklan pop-up, tutup lalu klik tombol kembali

Download lagu FDM Lecture 13: Convection and diffusion-forward time central space differencing (FTCS) scheme secara gratis hanya untuk keperluan promosi. Dukung artis favorit kamu dengan membeli musik original di iTunes atau platform resmi lainnya.