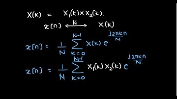
Lec 03, DSP | Linear Filtering using circular convolution (in time domain and frequency domain)

Tonton & Download Video Musik Gratis

⬇ DOWNLOAD NOW
Jika muncul iklan pop-up, tutup lalu klik tombol kembali

Download lagu Lec 03, DSP | Linear Filtering using circular convolution (in time domain and frequency domain) secara gratis hanya untuk keperluan promosi. Dukung artis favorit kamu dengan membeli musik original di iTunes atau platform resmi lainnya.