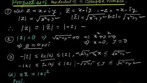
show that z=a+ib real if and only if z=zconjugate Pure imaginary if and only if z= zconjugateand Mat

Tonton & Download Video Musik Gratis

โฌ‡ DOWNLOAD NOW
Jika muncul iklan pop-up, tutup lalu klik tombol kembali

Download lagu show that z=a+ib real if and only if z=zconjugate Pure imaginary if and only if z= zconjugateand Mat secara gratis hanya untuk keperluan promosi. Dukung artis favorit kamu dengan membeli musik original di iTunes atau platform resmi lainnya.