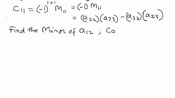
Determinants and Matrices Lec11 : Minors and Cofactors : Cofactors of each elements of determinant

Tonton & Download Video Musik Gratis

⬇ DOWNLOAD NOW
Jika muncul iklan pop-up, tutup lalu klik tombol kembali

Download lagu Determinants and Matrices Lec11 : Minors and Cofactors : Cofactors of each elements of determinant secara gratis hanya untuk keperluan promosi. Dukung artis favorit kamu dengan membeli musik original di iTunes atau platform resmi lainnya.