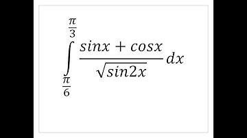
Evaluate the integral from limit π/6 to π/3 sinx+cosx/root over sin 2x dx

Tonton & Download Video Musik Gratis

⬇ DOWNLOAD NOW
Jika muncul iklan pop-up, tutup lalu klik tombol kembali

Download lagu Evaluate the integral from limit π/6 to π/3 sinx+cosx/root over sin 2x dx secara gratis hanya untuk keperluan promosi. Dukung artis favorit kamu dengan membeli musik original di iTunes atau platform resmi lainnya.