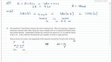
WME01/01 IAL (Edexcel) M1 October 2017, Q6, Speed Time Graphs, Acceleration, Distance

Tonton & Download Video Musik Gratis

⬇ DOWNLOAD NOW
Jika muncul iklan pop-up, tutup lalu klik tombol kembali

Download lagu WME01/01 IAL (Edexcel) M1 October 2017, Q6, Speed Time Graphs, Acceleration, Distance secara gratis hanya untuk keperluan promosi. Dukung artis favorit kamu dengan membeli musik original di iTunes atau platform resmi lainnya.