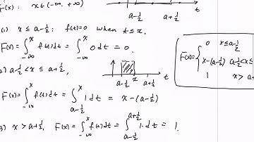
05-04. Continuous random variables (exercise 5.8) - From density function to expected value.

Tonton & Download Video Musik Gratis

⬇ DOWNLOAD NOW
Jika muncul iklan pop-up, tutup lalu klik tombol kembali

Download lagu 05-04. Continuous random variables (exercise 5.8) - From density function to expected value. secara gratis hanya untuk keperluan promosi. Dukung artis favorit kamu dengan membeli musik original di iTunes atau platform resmi lainnya.