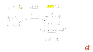
The sum of an infinite geometric series is 6 . If its first term is 2 , find its common ratio.

Tonton & Download Video Musik Gratis

⬇ DOWNLOAD NOW
Jika muncul iklan pop-up, tutup lalu klik tombol kembali

Download lagu The sum of an infinite geometric series is 6 . If its first term is 2 , find its common ratio. secara gratis hanya untuk keperluan promosi. Dukung artis favorit kamu dengan membeli musik original di iTunes atau platform resmi lainnya.