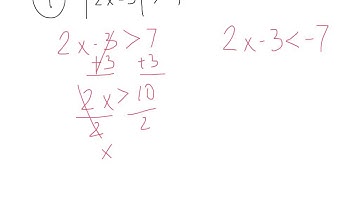
Algebra 2 - Unit 2 - Day 3 - Graphing Absolute Value Inequalities

Tonton & Download Video Musik Gratis

⬇ DOWNLOAD NOW
Jika muncul iklan pop-up, tutup lalu klik tombol kembali

Download lagu Algebra 2 - Unit 2 - Day 3 - Graphing Absolute Value Inequalities secara gratis hanya untuk keperluan promosi. Dukung artis favorit kamu dengan membeli musik original di iTunes atau platform resmi lainnya.