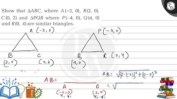
Show that triangle ABC with vertices A(-2,0), B(0,2) and C(2,0) is similar to triangle DEF with

Tonton & Download Video Musik Gratis

⬇ DOWNLOAD NOW
Jika muncul iklan pop-up, tutup lalu klik tombol kembali

Download lagu Show that triangle ABC with vertices A(-2,0), B(0,2) and C(2,0) is similar to triangle DEF with secara gratis hanya untuk keperluan promosi. Dukung artis favorit kamu dengan membeli musik original di iTunes atau platform resmi lainnya.