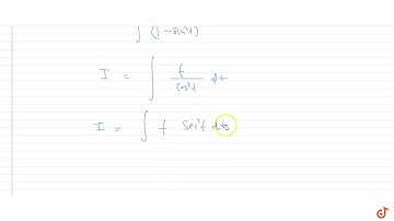
Integration of sin inverse x/ (1-x^2)^3/2 {Class 12}

Tonton & Download Video Musik Gratis

⬇ DOWNLOAD NOW
Jika muncul iklan pop-up, tutup lalu klik tombol kembali

Download lagu Integration of sin inverse x/ (1-x^2)^3/2 {Class 12} secara gratis hanya untuk keperluan promosi. Dukung artis favorit kamu dengan membeli musik original di iTunes atau platform resmi lainnya.