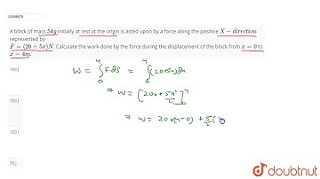
A block of mass 5 kg initially at rest at the Origin is acted on by a force along..........?

Tonton & Download Video Musik Gratis

⬇ DOWNLOAD NOW
Jika muncul iklan pop-up, tutup lalu klik tombol kembali

Download lagu A block of mass 5 kg initially at rest at the Origin is acted on by a force along..........? secara gratis hanya untuk keperluan promosi. Dukung artis favorit kamu dengan membeli musik original di iTunes atau platform resmi lainnya.