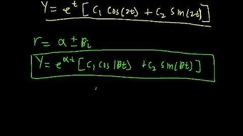
Lesson 12 - Homogeneous Linear ODEs w/ Constant Coefficients & Complex Roots, Part 3

Tonton & Download Video Musik Gratis

⬇ DOWNLOAD NOW
Jika muncul iklan pop-up, tutup lalu klik tombol kembali

Download lagu Lesson 12 - Homogeneous Linear ODEs w/ Constant Coefficients & Complex Roots, Part 3 secara gratis hanya untuk keperluan promosi. Dukung artis favorit kamu dengan membeli musik original di iTunes atau platform resmi lainnya.