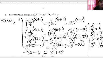
Solving Exponential Equations by Rewriting the Bases by LELAND A. ALEJANDRO

Tonton & Download Video Musik Gratis

⬇ DOWNLOAD NOW
Jika muncul iklan pop-up, tutup lalu klik tombol kembali

Download lagu Solving Exponential Equations by Rewriting the Bases by LELAND A. ALEJANDRO secara gratis hanya untuk keperluan promosi. Dukung artis favorit kamu dengan membeli musik original di iTunes atau platform resmi lainnya.