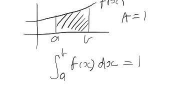
S2 - Continuous Random Variables (CRV) - The Probability Density Function (PDF), f(x)

Tonton & Download Video Musik Gratis

⬇ DOWNLOAD NOW
Jika muncul iklan pop-up, tutup lalu klik tombol kembali

Download lagu S2 - Continuous Random Variables (CRV) - The Probability Density Function (PDF), f(x) secara gratis hanya untuk keperluan promosi. Dukung artis favorit kamu dengan membeli musik original di iTunes atau platform resmi lainnya.