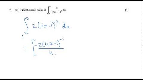
OCR Core 3 June 2008 q6 - A2 Maths - Integrating functions in the form f(ax+b)

Tonton & Download Video Musik Gratis

⬇ DOWNLOAD NOW
Jika muncul iklan pop-up, tutup lalu klik tombol kembali

Download lagu OCR Core 3 June 2008 q6 - A2 Maths - Integrating functions in the form f(ax+b) secara gratis hanya untuk keperluan promosi. Dukung artis favorit kamu dengan membeli musik original di iTunes atau platform resmi lainnya.