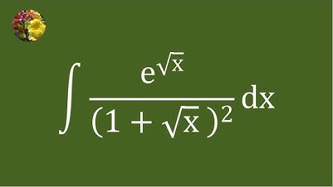
Method 2: Evaluating Indefinite Integrals via Algebraic Manipulation

Tonton & Download Video Musik Gratis

⬇ DOWNLOAD NOW
Jika muncul iklan pop-up, tutup lalu klik tombol kembali

Download lagu Method 2: Evaluating Indefinite Integrals via Algebraic Manipulation secara gratis hanya untuk keperluan promosi. Dukung artis favorit kamu dengan membeli musik original di iTunes atau platform resmi lainnya.